Research
Research Interests
- Condensed Matter Physics: Strongly correlated quantum (electron) systems
- AMO(Atomic Morecular, and Optical) Physics: Ultracold atoms, Open quantum systems, Non-Hermitian systems
- Quantum Many-Body Physics/Quantum information: Continuously monitored systems
Keywords
Fermionic superfluids, Tomonaga-Luttinger liquids, Kondo effect, (Itinerant) ferromagnetism, SU() symmetry, Nonequilibrium steady states, Lindblad master equation, Quantum measurement, Full counting statistics
Tools
Effective field theory, Conformal field theory, Bethe ansatz, (Non-Hermitian) density-matrix renormalization group, Dynamical mean-field theory, (Time-dependent) generalized Gibbs ensemble, Quantum trajectory method
Research details
Fermionic superfluids in open quantum systems
- Theory of Non-Hermitian superconductivity (fermionic superfluids) Phys. Rev. Lett. 123, 123601 (2019) (Highly Cited Paper in Web of Science)
- The interplay between exceptional manifolds and Van Hove singularity Phys. Rev. B 109, L060501 (2024)
- A system with a dissipative asymmetric hopping Phys. Rev. B 110, 184518 (2024)
Motivated by recent experimental advances in ultracold atoms, we have analyzed a non-Hermitian (NH) BCS Hamiltonian with a complex-valued interaction arising from inelastic scattering between fermions. We have first generalized the standard BCS theory to NH systems, finding unconventional phase transitions unique to NH systems: Superfluidity shows reentrant behavior with increasing dissipation as a consequence of exceptional points (EPs) unique to NH systems.

Phase diagram of NH BCS model: dependence of attractive interaction (U/t) and dissipation () obtained by solving the NH gap equation
- Exceptional fermionic superfluidity induced by spin-depairing effect Phys. Rev. Lett. 135, 266002 (2025) press release
Furthermore, we have analyzed the NH BCS Hamiltonian with spin-depairing effect, namely spin-dependent asymmetric hopping, and found a new superfluid phase. While EPs have been believed to appear only on the phase boundary, we have found that, in this new phase, the EPs arise within the stable superfluid phase. Moreover, by introducing the density of states in complex energy plane, we have demonstrated the mechanism of how the exceptional fermionic superfluidity emerge.

Phase diagram of NH BCS model with spin-depairing
Dynamical phase transition in dissipative fermionic superfluids
(Phys. Rev. Lett. 127, 055301 (2021)) We have predicted a new mechanism to induce collective excitations and a nonequilibrium phase transition of fermionic superfluids via a sudden switch-on of two-body loss, for which we have first extended the BCS theory to the dynamics under Lindblad equations. We have demonstrated that when dissipation is introduced to one of the two superfluids coupled via a Josephson junction, it gives rise to a nonequilibrium dynamical phase transition characterized by the vanishing dc Josephson current.
Dissipative Tomonaga-Luttinger liquids
Universal properties of dissipative Tomonaga-Luttinger liquids
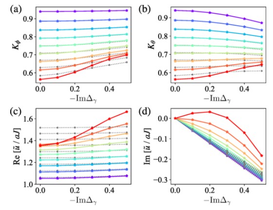
(Phys. Rev. B 105, 205125 (2022)) We have demonstrated the universal properties of dissipative Tomonaga-Luttinger (TL) liquids by calculating correlation functions and performing finite-size scaling analysis of a NH XXZ spin chain as a prototypical model in one-dimensional (1D) open quantum many-body systems. We have used several analytical and numerical techniques: Effective field theory with bosonization, finite-size scaling approach in conformal field theory (CFT), Bethe-ansatz (BA) solution, and NH generalization of the density-matrix renormalization group (NH-DMRG). We have uncovered that the model in the massless regime with weak dissipation belongs to the universality class characterized by the complex-valued TL parameter, which is related to the complex generalization of the CFT.

(a),(b) Critical exponents and (c),(d) velocity of excitations obtained by NH-DMRG and Bethe-ansatz
Universal properties of dissipative TL liquids with SU() spin symmetry
(Phys. Rev. B 107, 045110 (2023)) Motivated by recent experimental realizations of SU() Hubbard models, we have obtained universal scaling relations for dissipative TL liquids with SU() spin symmetry for both fermions and bosons, by using asymptotic BA solutions and CFT in 1D NH quantum many-body systems with SU() symmetry. We have uncovered that the spectrum of dissipative TL liquids with SU() spin symmetry is described by the sum of one charge mode characterized by a complex generalization of U(1) Gaussian CFT, and spin modes characterized by level-1 SU() Kac-Moody algebra with the conformal anomaly , and thereby dissipation only affects the charge mode as a result of spin-charge separation in 1D NH quantum systems.
Phase transitions and universality in continuously monitored systems:
-
Measurement-Induced phase transition in disordered many-body systems (Phys. Rev. B 107, L220201 (2023))
-
Measurement-Induced crossover in postselection-free many-body systems (arXiv:2503.02418)
In recent years, quantum dynamics induced by the backaction of measurements has attracted growing interest across several fields, including quantum information, AMO physics, and statistical physics. In particular, novel phase transitions such as measurement-induced entanglement phase transitions have been actively explored. We investigate the disordered interacting systems, and obtain the entanglement phase diagram (Fig. a). Furthermore, by analyzing the fidelity, we clarified that localization induced by measurements and that induced by disorder exhibit dynamically distinct behavior. Although it is generally known that realizing such systems is challenging due to the so-called postselection problem, we propose a general method to circumvent postselection, specifically tailored for cold-atom systems. In addition, we demonstrated that, although the fluctuation for the whole system are trivial, nontrivial measurement-induced many-body effects emerge in subsystem fluctuations (Fig. b). We further show that this behavior appears independently of model parameters in typical quantum many-body spin models, suggesting the existence of a new universality. Notably, fluctuations of measurement outcomes do not require postselection, making them experimentally accessible at very low cost.
(a): Entanglement phase diagram under the simultaneous measurements and disorder (b): Dynamics under continuous measurements and subsystem fluctuations
-
Measurement-Induced phase transition in quasiperiodic systems (Phys. Rev. B 112, 054309 (2025)) In recent years, quasiperiodic systems, which lack translational periodicity while exhibiting regular spatial order, have been extensively studied. For instance, in one-dimensional systems, the Fibonacci sequence is a prototypical example, and in two dimensions, the Penrose tiling is well known. We have numerically analyzed the steady-state entanglement entropy in quasiperiodic systems and demonstrated that a measurement-induced phase transition occur induced by the interplay between measurements and quasiperiodicity.

penrose tiling
Nonequilibrium steady states
Dissipation-induced nonreciprocal transport
(Phys. Rev. Research 2, 043343 (2020))
Nonreciprocal phenomena, exemplified by rectification, have attracted considerable attention across a wide range of fields, including condensed matter physics and nonequilibrium statistical physics. We have proposed a minimal model to realize a unidirectional particle current in a nonequilibrium steady state. Specifically, we have considered a one-dimensional fermionic system coupled to two heat baths, one in a nonequilibrium state and the other in equilibrium. First, we have derived the conditions under which a unidirectional particle current can emerge when the dissipation is nonreciprocal. Furthermore, we have demonstrated that even when the dissipation is reciprocal, a unidirectional particle current can arise if both nversion symmetry and time-reversal symmetry are broken.

Schematic image of a unidirectional particle current induced by coupling to baths